ShowBL
www.showbl.com
哔哩哔哩视频解析
抖音视频去水印
ShowBL
>
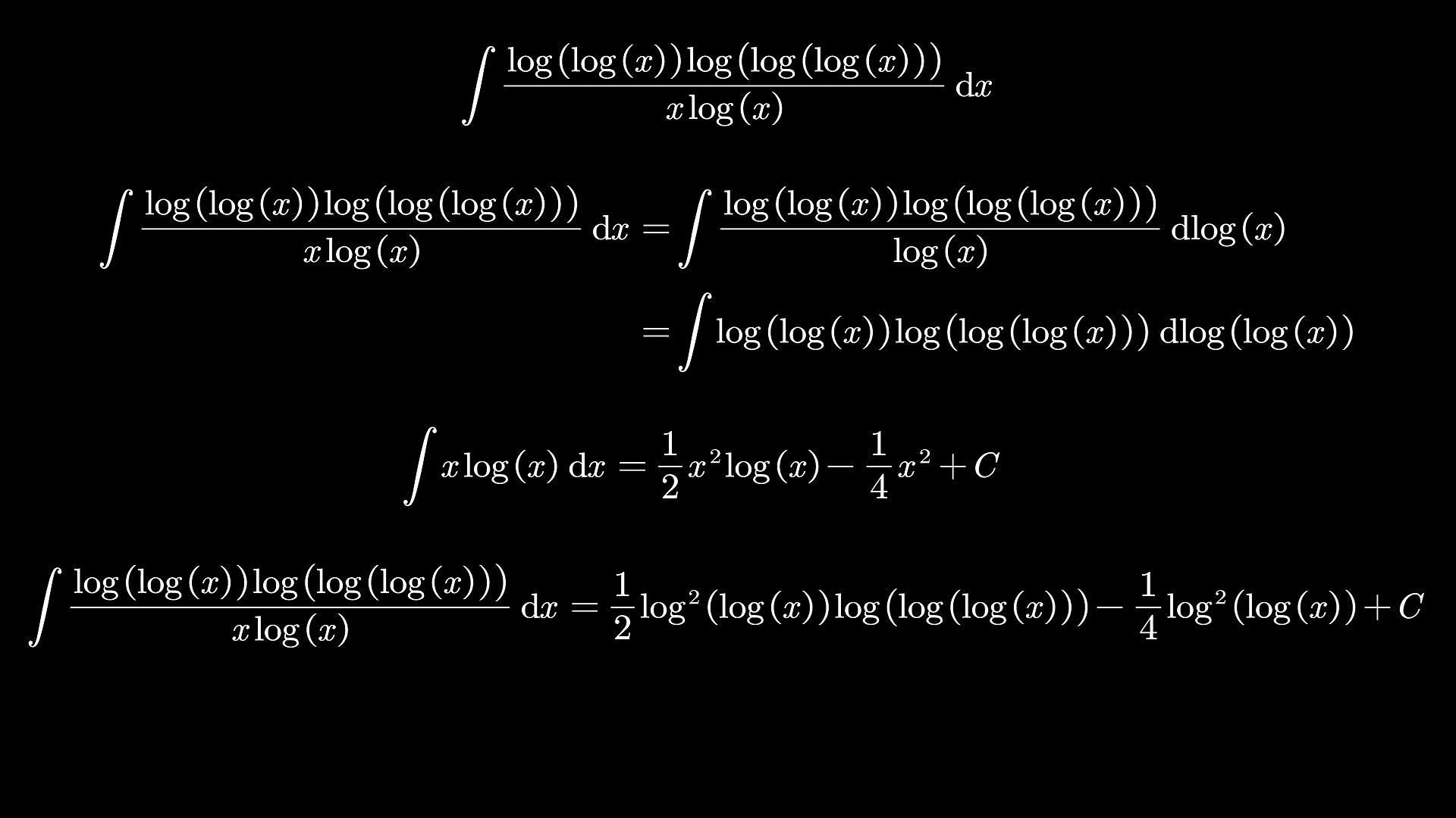
3分钟,带你刷2026麻省理工积分大赛资格赛试题
高清视频下载
观看高清视频
查看封面
3分钟,带你刷2026麻省理工积分大赛资格赛试题
UP主:
封面:
简介:
试题原题:qualifying_round_2026_test.pdf如果点赞过50的话就更全部期末题吧
前一篇:
工贸行业复工复产“六个一”专题片《复工复产,安全第一》
后一篇:
硬算海王星坐标全流程