ShowBL
www.showbl.com
哔哩哔哩视频解析
抖音视频去水印
ShowBL
>
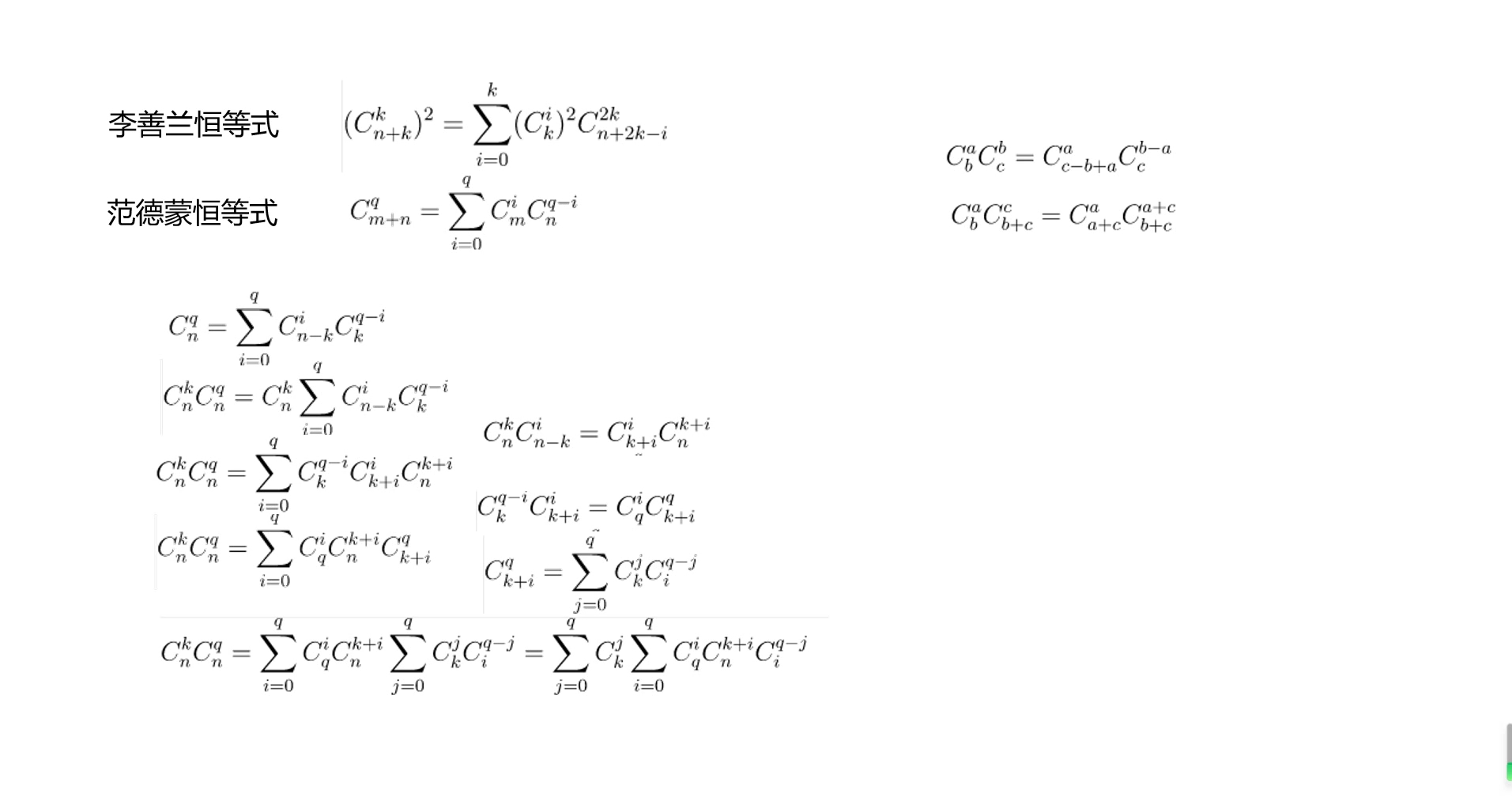
李善兰恒等式的一个证明
高清视频下载
观看高清视频
查看封面
李善兰恒等式的一个证明
UP主:
封面:
简介:
这期比较水,过年了也没筹备好下次做点什么。翻到以前的证明就随便用ppt做了个视频。
前一篇:
#广场舞 #女人的泪 32步跳两遍 第一遍步子舞 第二遍加手势
后一篇:
《你是我的城堡》广场健身舞完整版,适合初学者踩点练习#零基础学舞蹈 #居家锻炼