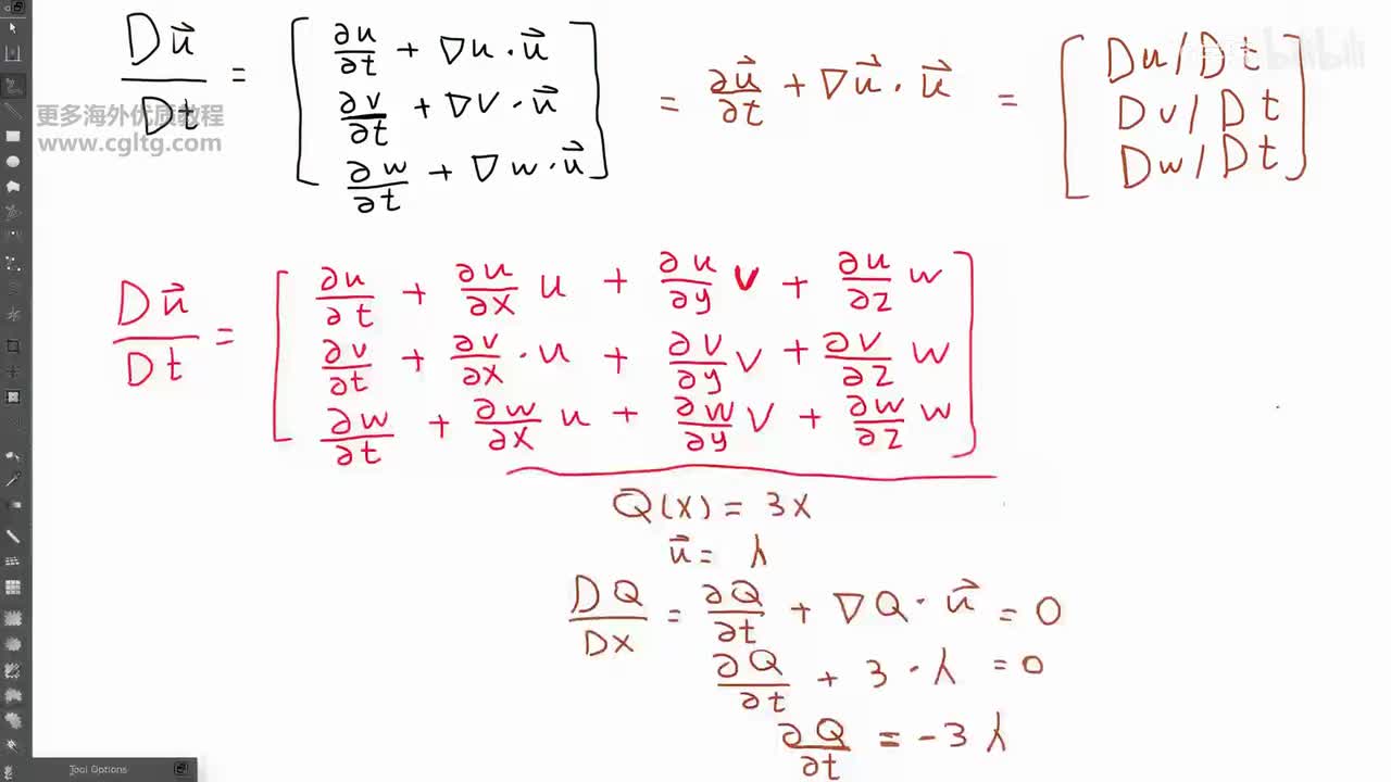
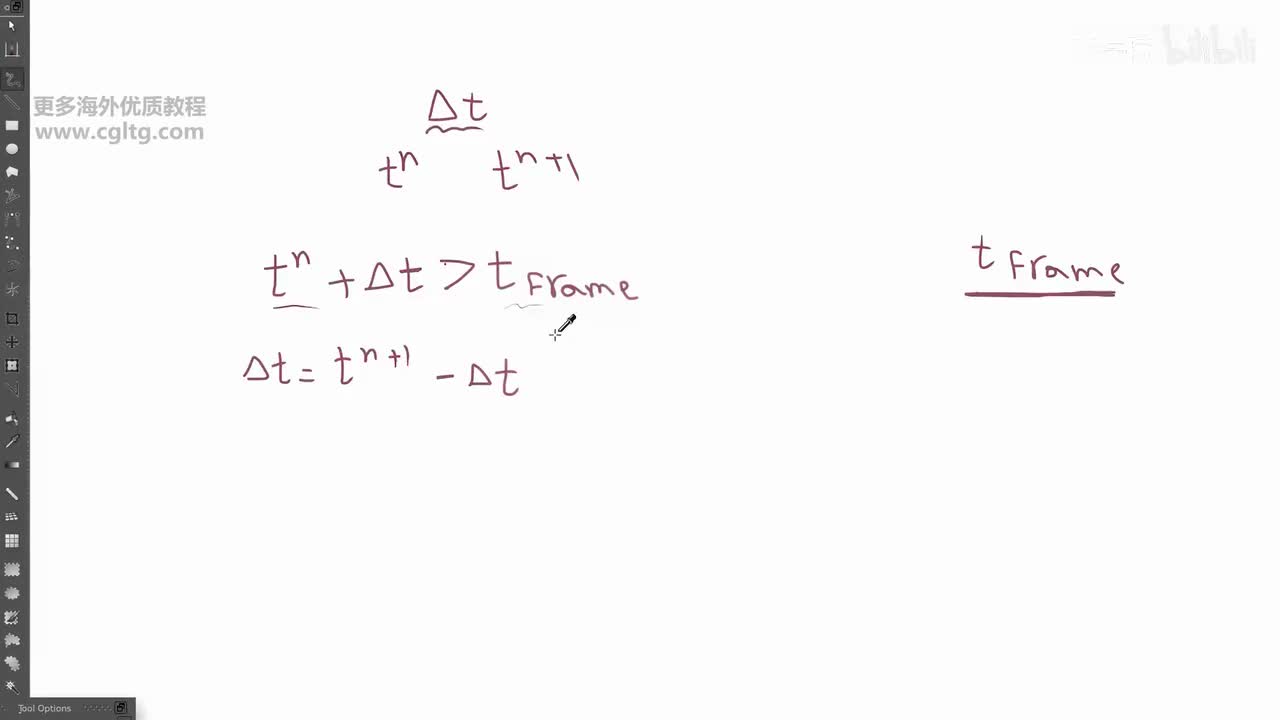
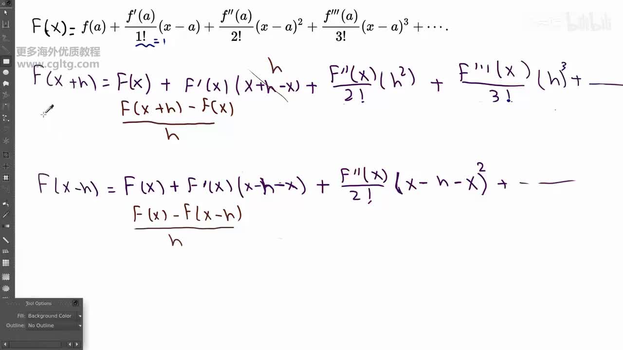
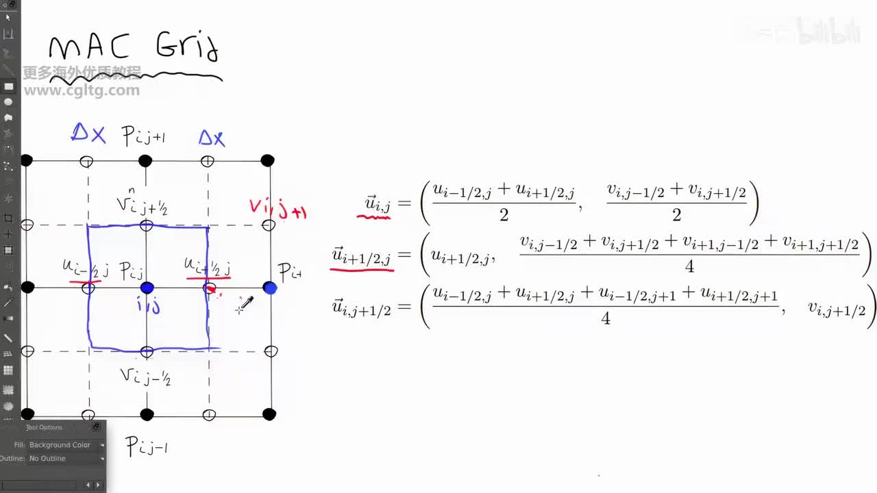
视频选集 1-1 introduction to pdes and odes 1-2 some linear algebra 1-3 talking about notation 2-1 navier stokes equations 2-2 lagrangian and eulerian viewpoints 2-3 material derivaive in vectors and example 2-4 incompressibility condition 2-5 dropping viscosity 2-6 boundary conditions 3-1 whats numerical simulation 3-2 discretization in time 3-3 splitting fluid equations part1 3-4 splitting fluid equations part2 3-5 selecting the time step 3-6 taylor series 3-7 finite differencing 3-8 mac grid 3-9 discretization in space 3-10 estimating velocity on staggered grid 4-1 introduction to solving advection equation 4-2 semi lagrangian approach 4-3 linear and bilinear interpolations 4-4 numerical diffusion 4-5 final notes on sl advection 5-1 introduction to finite difference linear systems 5-2 finite differncing linear systems in 2d 5-3 the discrete pressue introduction 5-4 the discrete pressure part 2 formulas 5-5 the discrete pressure part 3 boundaries 5-6 pressure update code 5-7 the discrete divergence 5-8 divergence update code 5-9 pressure equations 5-10 update according to boundaries 5-11 introduction to line search methods 6-1 introduction 6-2 simple smoke solver 6-3 time steps 6-4 modifesd smoke solver in depth 6-5 whats next
CG学院的视频 [专业国语翻译全集]Houdini VFX构建流体Fluid解算器第二部 [专业国语翻译全集]Houdini VFX构建流体Fluid解算器第一部 [专业国语精翻] For-Each循环系统全解析Houdini学校教程