ShowBL
www.showbl.com

  • 哔哩哔哩视频解析
  • 抖音视频去水印
ShowBL > 零基础高数衔接课,学高数前这些内容你必须要会!
高清视频下载观看高清视频查看封面

零基础高数衔接课,学高数前这些内容你必须要会! - 零基础高数衔接课,学高数前这些内容你必须要会!

UP主:
封面:
简介:
视频选集
零基础高数衔接课,学高数前这些内容你必须要会!

零基础高数衔接课,学高数前这些内容你必须要会!

1有理数

1有理数

2实数

2实数

3整式运算

3整式运算

4因式分解

4因式分解

5 分式与根式

5 分式与根式

6方程

6方程

7函数

7函数

8二次根式

8二次根式

9直线与圆

9直线与圆

10集合

10集合

11指数函数与对数函数

11指数函数与对数函数

12三角函数

12三角函数

26升本课程介绍

26升本课程介绍

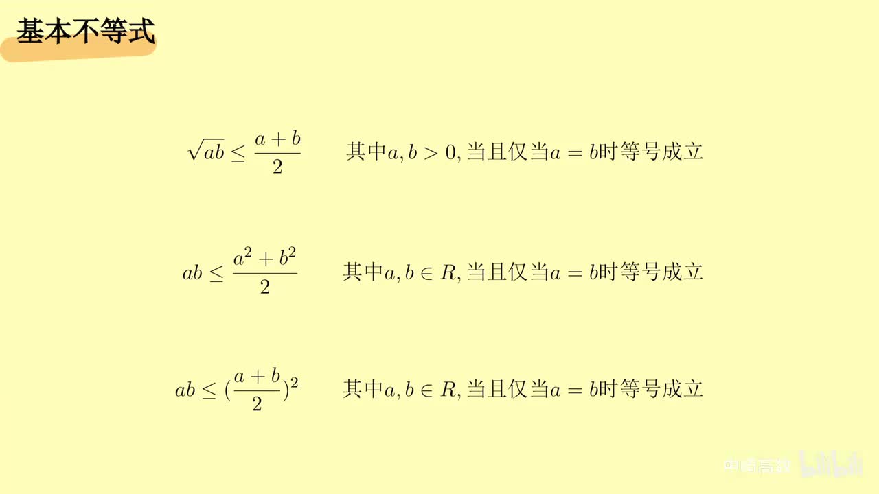
13基本不等式

13基本不等式

14数列

14数列

15复数

15复数

17数理统计

17数理统计

前一篇: 武林外传内测视频 后一篇: 轻而易举的青春不会难忘,回过头想遗憾才是在慢慢雕琢成长。歌曲《雨爱》DJ降调超长完整版 #雨爱 #成长力计划 #音乐分享
Copyright © 2024-2025 ShowBL