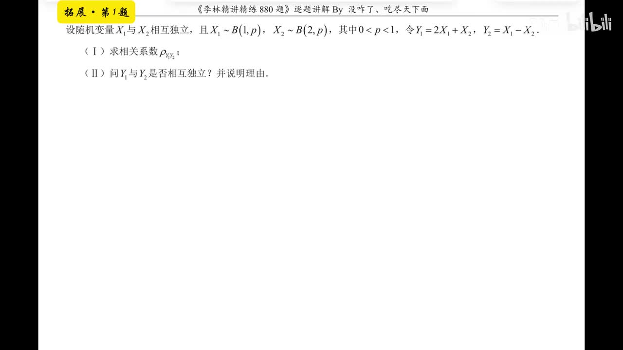
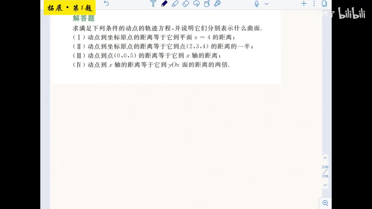
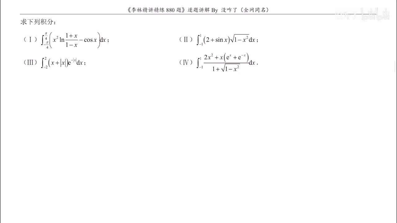
【数学一】2026李林880题逐题精讲 超细致 By 没咋了、吃尽天下面 - 【第一章】基础选择1-11

UP主:
封面:
简介:
视频选集