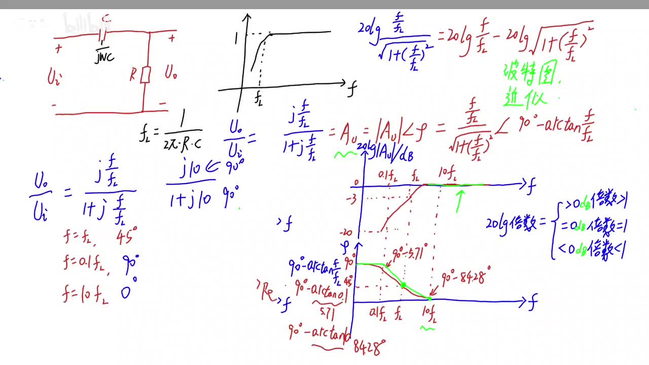
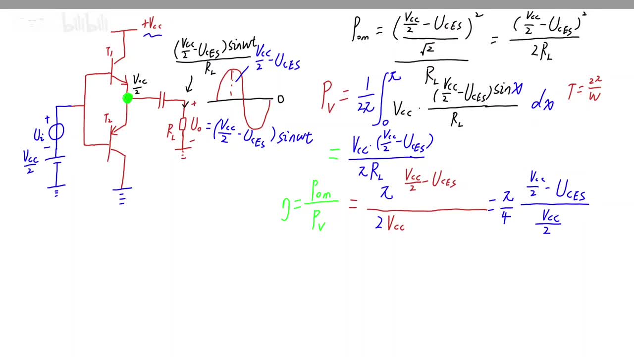
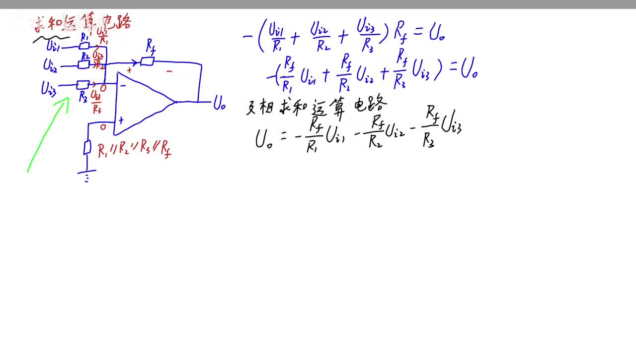
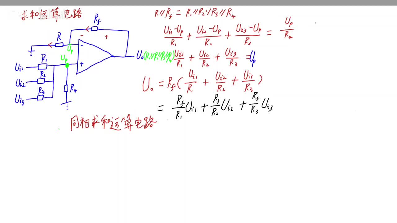
视频选集 引言 本征半导体杂质半导体 PN结的形成与半导体二极管 二极管微变等效电路(建议结合郑益慧老师的一起看) 稳压二极管 三极管的结构以及电流放大倍数 三极管特性曲线第一部分 三极管特性曲线第二部分 N沟道增强型场效应管 N沟道耗尽型场效应管 结型场效应管完结 场效应管的跨导 放大的基本概念 构成一个放大电路的思路 为什么要设置静态工作点 两种实用放大电路 直流通路与交流通路 图解法求解静态工作点 图解法分析电压放大倍数 图解法直观看交流 h参数等效模型 输入输出电阻含义以及放大电路分析 静态工作点的稳定 静态工作点稳定电路Q点的计算 静态工作点稳定电路动态参数计算 共集放大电路的分析 共基放大电路的分析 三极管构成的三种放大电路小总结 场效应管小信号模型怎么来的? 共源放大电路的分析 共源放大电路的变种 共漏放大电路的分析 复合管 复合管补 复合管放大电路与共射共基放大电路 放大电路建模以及为什么需要多级放大电路 直接耦合多级放大电路 阻容耦合多级放大电路 多级放大电路动态分析 多级放大电路实例 差分放大电路共模增益 差分放大电路差模增益 差分放大电路分析实例 单端输出电路静态工作点的求解 单端输出电路增益求解 单入双出电路分析 单入单出电路分析 差分放大电路的改进与完结 镜像电流源 比例电流源 微电流源 改进的镜像电流源电路 威尔逊电流源 多集电极电流源与场效应管电流源 有源负载共射放大电路与有源负载差分放大电路 直接耦合互补输出级 直接耦合互补输出级1 直接耦合互补输出级2 集成运放的构成及电压传输特性 复数回顾 uo除ui意味着什么? 高通电路频率响应 低通电路频率响应 波特图 波特图续1 波特图续2 为什么会有高频模型? 三极管高频模型 三极管高频模型1 三极管电流放大倍数频率响应 三极管电流放大倍数频率响应2 场效应管高频模型 共射放大电路频率响应-中频分析 共射放大电路频率响应-低频分析 共射放大电路频率响应-高频分析 共射放大电路全频段表达式与波特图 共源放大电路频率响应 增益带宽积 多级放大电路频率响应 多级放大电路频率响应续 反馈的基本概念 有无反馈的判断 正负反馈的判断 交直流反馈的判断 反馈组态 反馈组态1 组态判断例题 负反馈放大电路的框图 深度负反馈放大电路放大倍数的分析 深度负反馈放大电路放大倍数的分析续 四种组态的框图 反馈放大电路中对放大倍数符号的解释 放大倍数求解例题 负反馈稳定放大倍数 负反馈对输入电阻的影响 负反馈对输出电阻的影响 负反馈对输出电阻的影响续 负反馈对电路带宽的影响 自激振荡 自激振荡续 怎么让电路不自激振荡 反相比例运算电路 反相比例运算电路改进和同相比例运算电路 反相求和运算电路 同相求和运算电路 加减运算电路 积分运算电路 微分运算电路 微积分运算电路两道例题 对数运算电路 指数运算电路 利用对数运算电路指数运算电路构成乘法运算电路 模拟乘法器 滤波电路预备知识 低通滤波电路 同相输入低通滤波器 反相输入低通滤波器 全通滤波器 正弦波震荡电路概述 RC正弦波震荡电路 LC震荡电路 LC震荡电路1 LC震荡电路2 LC震荡电路3 LC震荡电路4 石英晶体震荡电路 石英晶体震荡电路续 比较器 单限比较器 滞回比较器 窗口比较器 方波发生电路 方波发生电路续 矩形波发生电路 三角波发生电路 三角波发生电路续 锯齿波发生电路 三角波变锯齿波变正弦波 电压转电流与电流转电压 精密整流电路 精密整流电路续 电压-频率转换电路 电压-频率转换电路2 功率放大电路 功率放大电路续 功率放大电路续1 功率放大电路续2 插曲 半波整流电路 全波整流电路 电容滤波电路 倍压整流电路 电感滤波电路 稳压管稳压电路 稳压管稳压电路2 集成稳压电路 开关型稳压电路 开关型稳压电路续 结语