ShowBL
www.showbl.com

  • 哔哩哔哩视频解析
  • 抖音视频去水印
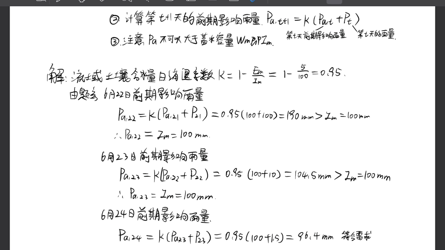
ShowBL > 【工程水文学】十一分钟搞定前期影响雨量计算!
高清视频下载观看高清视频查看封面

【工程水文学】十一分钟搞定前期影响雨量计算!

UP主:
封面:
简介:
阿润水利的视频
同倍比放大法/同频率放大法推求设计洪水/暴雨过程线

同倍比放大法/同频率放大法推求设计洪水/暴雨过程线

《工程水文学》不连续系列经验频率计算之多个考证期情况

《工程水文学》不连续系列经验频率计算之多个考证期情况

《工程水文学》矩法计算不连续系列均值、Cv值!

《工程水文学》矩法计算不连续系列均值、Cv值!

《工程水文学》同频率放大法推求设计洪水过程线/设计暴雨过程线

《工程水文学》同频率放大法推求设计洪水过程线/设计暴雨过程线

《工程水文学》:统一处理法/独立样本法计算不连续洪水系列经验频率!

《工程水文学》:统一处理法/独立样本法计算不连续洪水系列经验频率!

《工程水文学》一个视频搞定单位线的时段转换!

《工程水文学》一个视频搞定单位线的时段转换!

《工程水文学》概化三角形法推求地下径流过程线!

《工程水文学》概化三角形法推求地下径流过程线!

《工程水文学》初损后损法计算净雨过程(进阶版)

《工程水文学》初损后损法计算净雨过程(进阶版)

《工程水文学》初损后损法计算净雨过程(初阶)

《工程水文学》初损后损法计算净雨过程(初阶)

《工程水文学》计算天花板:蓄满产流计算!

《工程水文学》计算天花板:蓄满产流计算!

《工程水文学》十四分钟搞定面积包围法计算日平均水位!

《工程水文学》十四分钟搞定面积包围法计算日平均水位!

【工程水文学】十一分钟搞定前期影响雨量计算!

【工程水文学】十一分钟搞定前期影响雨量计算!

《工程水文学》第二章 水文循环与径流形成 计算题第一题

《工程水文学》第二章 水文循环与径流形成 计算题第一题

前一篇: 【空镜素材】复习写字 后一篇: 广播剧《rt关系》更新至第2集‖涧笑红×羊仔
Copyright © 2024-2025 ShowBL