ShowBL
www.showbl.com
哔哩哔哩视频解析
抖音视频去水印
ShowBL
>
数学老师:欠扁是吧26
高清视频下载
观看高清视频
查看封面
数学老师:欠扁是吧26
UP主:
封面:
简介:
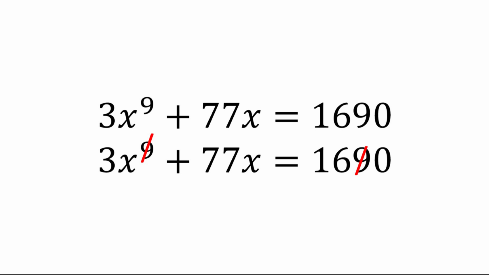
欠扁五大公理1.仅由字母、汉字组成的字符串可随时看作各元素的积.2.同时对等式两边不在分母中的各单项式中的等量元素进行大写、小写或相同的线性变换,等式仍然成立.3.等式...
前一篇:
angle~不得不爱
后一篇:
我家每年现在就是开始囤各种暖宝贴,暖手宝了,这个去年发现的真好用,现在囤更划算,不然到时候天真冷了又贵了